隨著生活水平和健康意識的提升,當今消費者對護膚和自身形象的重視程度日益增強。人們更加認識到,良好的肌膚狀態和整潔的外觀不僅能夠提升個人魅力,還是健康和自信的外在表現。這種趨勢推動著護膚品市場的快速發展,消費者在選擇護膚產品時也更加注重成分的安全性、產品的有效性以及是否符合個人膚質。此外,隨著社交媒體的普及,人們愈發愿意投資于個人形象,從而在職場和日常生活中展現最佳狀態。因此,對于現代消費者而言,維護良好的肌膚和形象已成為一種生活方式的體現。
市場上產品種類繁多,“抗衰、美白、保濕、抗氧化、舒緩”等各種熱門功效層出不窮,功效細分化趨勢明顯。那么,這些功效是如何發揮作用的呢?接下來的系列主題文章,我們將為大家揭秘這些功效背后的科學原理。今天就讓我們一起來看看關于美白的那些事兒~
皮膚變黑的影響因素及發生機制
膚色變黑的核心原因在于黑色素的生成和積累。黑色素由位于表皮最底層的黑素細胞產生,這些細胞占基底層細胞約10%。它們通過特化的細胞器稱為黑色素體(melanosomes)來合成黑色素。在黑色素生成后,黑素細胞通過其樹突部分將黑素顆粒傳遞給鄰近的基底細胞和棘層細胞。

圖1 皮膚中黑色素的合成及分泌過程(圖片來源網絡)
但黑色素在基底層初步生成時,并不會直接導致皮膚明顯“變黑”。只有當這些黑色素轉移到角質層并逐漸積累,皮膚才會表現出“變黑”的外觀。
那么黑色素是怎么合成的呢?合成黑色素所需的原料和路徑又是什么?
黑色素的合成始于黑素細胞內酪氨酸酶的活化。酪氨酸酶催化酪氨酸轉化為多巴(DOPA)和進一步的氧化產物,最終形成黑色素。黑色素在黑素細胞中形成后便被封裝在黑色素體中,這些黑色素體隨后通過細胞的樹枝狀突起傳輸給鄰近的角質細胞。這種轉移通過“細胞吞噬”過程進行,角質細胞會吞噬黑色素體,使其分布在細胞核的周圍,形成一層保護屏障,防止紫外線直接照射到細胞核上,從而保護DNA免受紫外線損傷。隨著角質細胞生命周期的結束,這些含有黑色素的細胞逐漸向表皮表面移動,最終從皮膚表面脫落,這也是皮膚自然更新的一部分。

圖2 黑素小體蛋白的轉運過程
常見的美白功效原料及其作用機理
黑色素細胞的活性和代謝同樣受多種因素的影響,內外因素共同作用影響黑素細胞的功能和皮膚表觀色度。外部因素包括紫外線(UV)暴露、環境污染、化學物質和藥物等,內部因素有遺傳、激素、年齡、炎癥水平、疾病和健康狀況等。因此,減少紫外線的暴露和環境污染,維持健康的身體狀態對于實現皮膚美白至關重要。

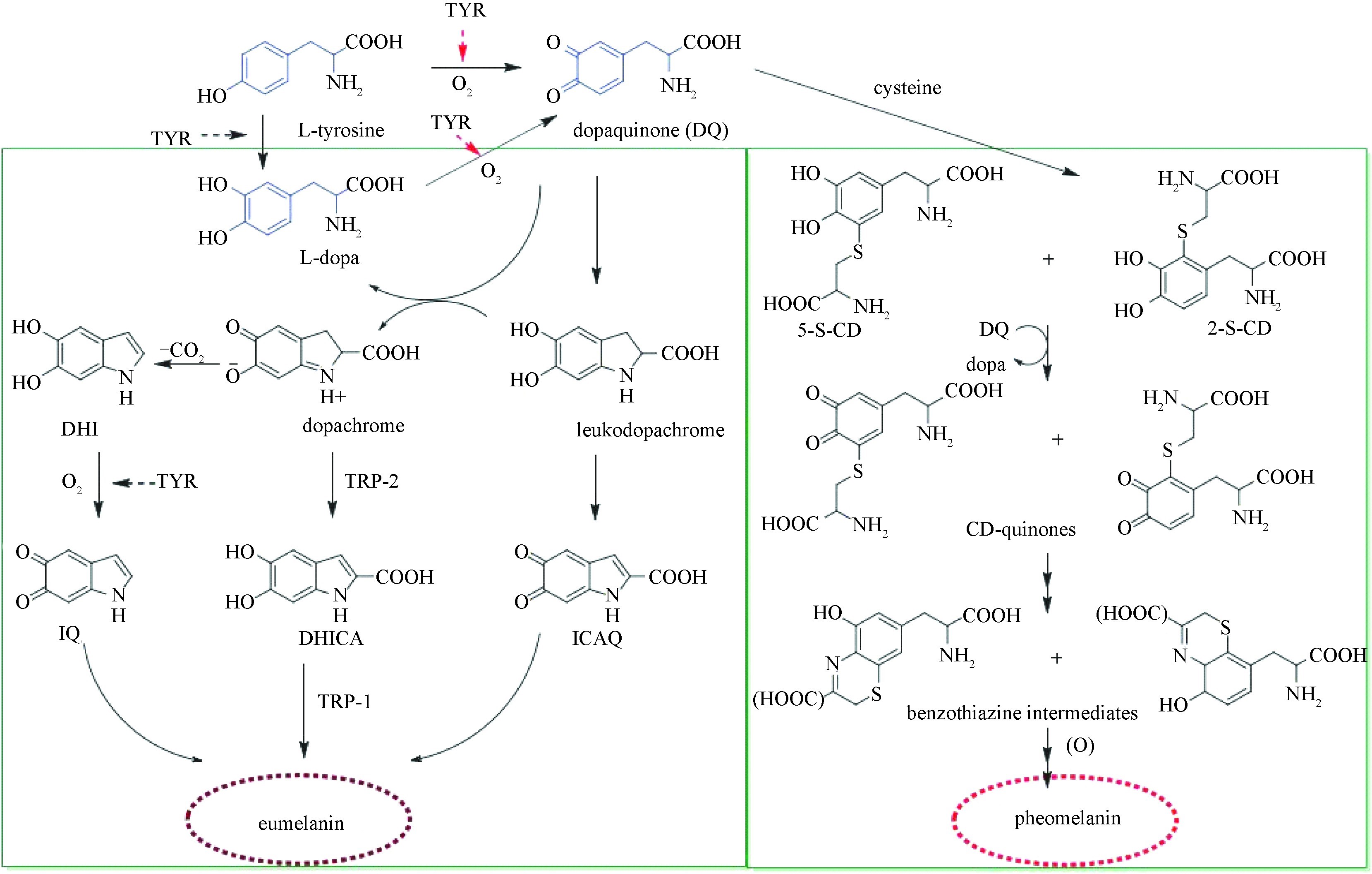
圖3 黑色素合成途徑
要達到美白效果,可以通過不同的生物化學通路來抑制或調節黑色素的生成、轉運和代謝。以下是一些常見的美白機制和通路:
1.抑制酪氨酸酶活性:酪氨酸酶是黑色素合成的關鍵酶,它催化酪氨酸轉化為黑色素的前體。抑制酶活可直接減少黑色素的產生。常見抑制劑包括熊果苷、維生素C、曲酸等。
2.干擾黑色素合成途徑:阻斷酪氨酸的供應或影響其他參與黑色素生成的輔助酶和因子。
3.阻斷黑色素的轉運:黑色素形成后需要被轉移到周圍皮膚細胞中,這一過程也可以被干預。通過阻斷黑色素從黑素細胞到角質形成細胞的轉運,可以減少皮膚表面的色素沉著。
4.加速黑色素的分解和排除:增加黑色素的代謝,加速其從皮膚表層的脫落可以幫助減少已形成的色素沉著。使用如果酸、水楊酸等化學剝脫劑可以促進角質層細胞更新,從而加速黑色素的排除。
5.抗氧化和抗炎作用:抗氧化劑如維生素E和抗炎劑可以減少由于氧化應激或炎癥反應導致的黑色素增加。這些物質幫助減少皮膚的氧化壓力和炎癥,間接控制黑色素的過度產生。
6.保護皮膚免受UV傷害:使用防曬霜可以阻擋或吸收紫外線,減少其對皮膚的刺激,從而減少黑色素的形成。
通過這些不同的通路,可以從多個角度調控和減少黑色素的形成和積累,從而達到美白皮膚的效果。
常見的美白功效原料及其作用機理
1.抑制黑色素生成相關酶活性
酶是一類催化效率很高的大分子生物催化劑,主要是蛋白質,它們能夠加速生物體內的化學反應,抑制酶活就可以降低甚至停止整個生化過程。在黑色素生成過程中多種酶類發揮作用。目前,大多數美白成分主要通過抑制黑色素合成前兩個步驟中的關鍵酶——酪氨酸酶活性實現美白效果。
能夠抑制酪氨酸酶表達的美白成分主要包括:維生素C(抗壞血酸),熊果苷(Arbutin),曲酸(Kojic Acid),甘草酸(Licorice Extract),水楊酸(Salicylic Acid),光甘草定,白藜蘆醇,鞣花酸,曲酸及其衍生物,熊果酸及其衍生物,苯乙基間苯二酚,壬二酸以及一些新型活性物。這些成分通過不同機制作用于酪氨酸酶,從而達到抑制黑色素生成的美白效果。
2.阻斷黑色素的轉運
通過阻斷已產生的黑色素向角質層轉運,使其無法順利到達角質層而引起視覺上的“變黑”。煙酰胺通過降低黑色素細胞與角質形成細胞之間的接觸和連接,從而減少黑色素的轉運。大豆異黃酮通過影響黑色素細胞表面蛋白表達,從而減少黑色素顆粒的轉移。EP-2可抑制黑素小體轉運及酪氨酸酶活性。
3.調節信號傳導
黑素合成相關的信號通路十分復雜,其代謝主要受到角質形成細胞和成纖維細胞釋放的多種調控因子和細胞信號傳導因子影響,這些都會促進黑色素的合成。
α-MSH(α-黑色素刺激激素)是一個重要的肽類激素,能夠結合到MC1R(黑色素細胞刺激素受體1)上,激活cAMP信號通路,促進黑色素合成。MC1R的激活增加cAMP水平,進而激活PKA(蛋白激酶A),促進酪氨酸酶的表達和活性,加速黑色素產生。TNF-α、IL-1和IL-6、EGF等可以通過不同的信號通路影響黑素細胞活性和黑色素的合成。Wnt/β-catenin信號通路在黑色素細胞的分化和黑素形成中起著關鍵作用,Wnt蛋白的激活可促進β-catenin的積累和核內轉移。此外,內源性激素和外源性UV輻射也會影響黑色素的產生。UV可以增加α-MSH的分泌并通過MC1R激活黑色素的合成,還可以激活MAPK(絲裂原活化蛋白激酶)信號通路,進一步調控黑色素的合成。內源性激素如雌激素和孕激素等的變化也會影響黑色素的產生。
此類美白功效原料包括:視黃酸(抑制MITF表達)、煙酰胺(阻斷PI3K/Akt)、白芷提取物(抑制MITF表達)、兒茶素(NF-κB等抗炎信號通路)、沒藥烷基酮(阻斷cAMP-PKA)、4H3MC-肉桂酸(阻斷cAMP-PKA)、川皮苷/川陳皮素(阻斷MAPK/ERK、CREB磷酸化)等。
4.加速黑色素的分解代謝和角質層脫落
通過加速皮膚新陳代謝并促進角質層脫落,可以有效清除已到達皮膚表層的黑色素,從而達到美白效果。此類美白成分多為酸類物質,主要包括:果酸類(AHAs,如乳酸、甘醇酸)、水楊酸(BHA)、視黃酸(Retinoids)、維生素C(Ascorbic Acid)、煙酰胺(Niacinamide)、全反式維甲酸、羥基乙酸等。

圖4 美白功效原料及其相關作用機制
5.其他美白方式
防曬是關鍵,良好的防曬措施能夠阻擋紫外線,避免黑色素的產生,從而間接實現美白效果。此外,保持健康的飲食習慣和規律的作息時間,維持身體健康,也有助于使皮膚更加光澤明亮。
目前美白功效的主要評估方法及宣稱依據
國務院常務會議審議并通過的《化妝品監督管理條例》中表明,化妝品的功效宣稱必須基于事實科學證據。對于美白成分的含量及其配方設計,我們需要采取科學的功效評估方法進行證實。目前,化妝品功效的科學評估方法主要包括傳統的動物或人體等在體試驗和體外替代試驗(2D細胞或3D皮膚模型),以及新興的微流控芯片、皮膚類器官等發展方向。
通過這些檢測技術,我們可以有效篩選出作用效果良好的美白原料和產品,不僅能夠滿足市場對于產品功效宣稱的要求,還能增強品牌信任度和市場競爭力,推動行業健康發展。在接下來的文章中,我們將詳細介紹目前美白相關的產品功效評估方法~
參考文獻:
[1] Hugo M ,C. M S ,C. D B .Melanin Transfer in the Epidermis: The Pursuit of Skin Pigmentation Control Mechanisms[J].International Journal of Molecular Sciences,2021,22(9):4466-4466.
[2] Pillaiyar T ,Manickam M ,Jung S .Recent development of signaling pathways inhibitors of melanogenesis[J].Cellular Signalling,2017,4099-115.
[3] 馮法晴,劉有停,董銀卯.化妝品美白劑作用機制研究進展[J].香料香精化妝品,2019,(06):71-77.
[4] 胡積東,王海瑞.美白化妝品活性成分及其檢測方法研究進展[J].日用化學品科學,2022,45(08):48-52.
[5] 馬梓育,陸洋.體內黑色素合成、調控及常用天然、中藥來源的黑色素抑制劑[J].中國中藥雜志,2020,45(24):5898-5916.DOI:10.19540/j.cnki.cjcmm.20200818.601.
[6] 孫蓓,李瀟,盧永波.影響皮膚黑素沉著的美白制劑及其作用機制研究進展[J].中國美容醫學,2015,24(22):82-85.DOI:10.15909/j.cnki.cn61-1347/r.000882.
[7] 楊梟,劉源,封悅,等.美白化妝品的綜述[J].中國洗滌用品工業,2024,(04):54-65.DOI:10.16054/j.cnki.cci.2024.04.005.
[8] 趙美娟,戶晶晶,倪輝,等.黑色素生成信號通路研究進展[J].生物工程學報,2019,35(09):1633-1642.DOI:10.13345/j.cjb.190084.

